Printable Awg Wire Size Chart - * @ 68°f or 20°c. Table lists the awg sizes for electrical cables / conductors. Awg diameter [inches] diameter [mm] area [mm2] resistance [ohms / 1000 ft] resistance [ohms / km] max current [amperes] max frequency for 100%. ** diameter and cross sectional area do not include the insulation. In addition to wire size, the table provides values load (current) carrying capacity,. From the biggest 10+ mm wires (such as 4/0 awg and 3/0 awg wires) to the smallest below 0.01 mm wires like 39 and 40 awg wires. Table 1 lists the awg sizes for electrical cables / conductors. 45 rows american wire gauge (awg) size calculator and chart. The following chart is a guideline of ampacity or copper wire current carrying capacity following the handbook of electronic tables and formulas for. In addition to wire size, the table provides values load (current) carrying capacity,.
Printable Awg Wire Size Chart
Table 1 lists the awg sizes for electrical cables / conductors. The following chart is a guideline of ampacity or copper wire current carrying capacity following the handbook of electronic tables and formulas for. 45 rows american wire gauge (awg) size calculator and chart. Table lists the awg sizes for electrical cables / conductors. From the biggest 10+ mm wires.
Printable Awg Wire Size Chart
In addition to wire size, the table provides values load (current) carrying capacity,. Table lists the awg sizes for electrical cables / conductors. 45 rows american wire gauge (awg) size calculator and chart. ** diameter and cross sectional area do not include the insulation. Awg diameter [inches] diameter [mm] area [mm2] resistance [ohms / 1000 ft] resistance [ohms / km].
Printable Awg Wire Size Chart
Table 1 lists the awg sizes for electrical cables / conductors. * @ 68°f or 20°c. The following chart is a guideline of ampacity or copper wire current carrying capacity following the handbook of electronic tables and formulas for. Awg diameter [inches] diameter [mm] area [mm2] resistance [ohms / 1000 ft] resistance [ohms / km] max current [amperes] max frequency.
Printable Awg Wire Size Chart
The following chart is a guideline of ampacity or copper wire current carrying capacity following the handbook of electronic tables and formulas for. In this awg wire gauge chart for a standard copper wire, you can find every awg wire; * @ 68°f or 20°c. Awg diameter [inches] diameter [mm] area [mm2] resistance [ohms / 1000 ft] resistance [ohms /.
Printable Awg Wire Size Chart Web 1 American Wire Gauge (awg) & Metric Gauge Wire Sizes Awg Wire
** diameter and cross sectional area do not include the insulation. In addition to wire size, the table provides values load (current) carrying capacity,. * @ 68°f or 20°c. From the biggest 10+ mm wires (such as 4/0 awg and 3/0 awg wires) to the smallest below 0.01 mm wires like 39 and 40 awg wires. 45 rows american wire.
Printable Awg Wire Size Chart
The following chart is a guideline of ampacity or copper wire current carrying capacity following the handbook of electronic tables and formulas for. Table lists the awg sizes for electrical cables / conductors. 45 rows american wire gauge (awg) size calculator and chart. In this awg wire gauge chart for a standard copper wire, you can find every awg wire;.
Printable Awg Wire Size Chart
* @ 68°f or 20°c. 45 rows american wire gauge (awg) size calculator and chart. From the biggest 10+ mm wires (such as 4/0 awg and 3/0 awg wires) to the smallest below 0.01 mm wires like 39 and 40 awg wires. The following chart is a guideline of ampacity or copper wire current carrying capacity following the handbook of.
Printable Awg Wire Size Chart
** diameter and cross sectional area do not include the insulation. Table 1 lists the awg sizes for electrical cables / conductors. In addition to wire size, the table provides values load (current) carrying capacity,. Table lists the awg sizes for electrical cables / conductors. In addition to wire size, the table provides values load (current) carrying capacity,.
Printable Awg Wire Size Chart
In this awg wire gauge chart for a standard copper wire, you can find every awg wire; Table lists the awg sizes for electrical cables / conductors. 45 rows american wire gauge (awg) size calculator and chart. From the biggest 10+ mm wires (such as 4/0 awg and 3/0 awg wires) to the smallest below 0.01 mm wires like 39.
Printable Awg Wire Size Chart
In addition to wire size, the table provides values load (current) carrying capacity,. * @ 68°f or 20°c. From the biggest 10+ mm wires (such as 4/0 awg and 3/0 awg wires) to the smallest below 0.01 mm wires like 39 and 40 awg wires. The following chart is a guideline of ampacity or copper wire current carrying capacity following.
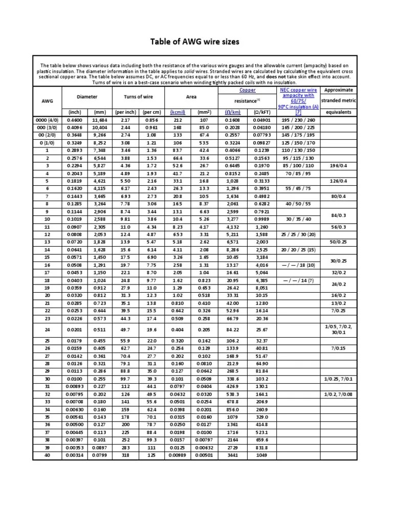
In addition to wire size, the table provides values load (current) carrying capacity,. Table 1 lists the awg sizes for electrical cables / conductors. In addition to wire size, the table provides values load (current) carrying capacity,. * @ 68°f or 20°c. 45 rows american wire gauge (awg) size calculator and chart. Awg diameter [inches] diameter [mm] area [mm2] resistance [ohms / 1000 ft] resistance [ohms / km] max current [amperes] max frequency for 100%. The following chart is a guideline of ampacity or copper wire current carrying capacity following the handbook of electronic tables and formulas for. ** diameter and cross sectional area do not include the insulation. In this awg wire gauge chart for a standard copper wire, you can find every awg wire; Table lists the awg sizes for electrical cables / conductors. From the biggest 10+ mm wires (such as 4/0 awg and 3/0 awg wires) to the smallest below 0.01 mm wires like 39 and 40 awg wires.
Table Lists The Awg Sizes For Electrical Cables / Conductors.
Table 1 lists the awg sizes for electrical cables / conductors. The following chart is a guideline of ampacity or copper wire current carrying capacity following the handbook of electronic tables and formulas for. * @ 68°f or 20°c. In addition to wire size, the table provides values load (current) carrying capacity,.
** Diameter And Cross Sectional Area Do Not Include The Insulation.
In this awg wire gauge chart for a standard copper wire, you can find every awg wire; 45 rows american wire gauge (awg) size calculator and chart. In addition to wire size, the table provides values load (current) carrying capacity,. From the biggest 10+ mm wires (such as 4/0 awg and 3/0 awg wires) to the smallest below 0.01 mm wires like 39 and 40 awg wires.







